Web Analytics Made Easy -
StatCounter
37+ 20 Best Real Estate Paralegal Resumes Resumehelp View Real Estate Paralegal Resume PNG

37+ 20 Best Real Estate Paralegal Resumes Resumehelp View Real Estate Paralegal Resume PNG

Resume sample from professional resume writing company.

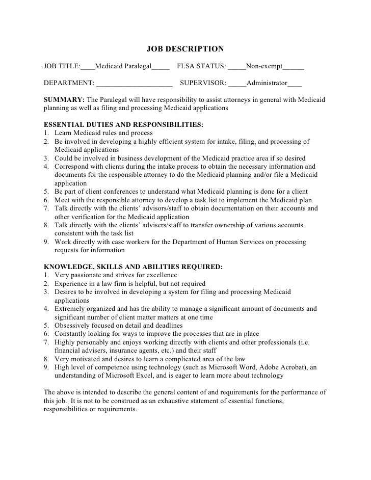
View Real Estate Paralegal Resume PNG. Apply to paralegal, real estate associate, commercial real estate agent and more! Real estate paralegals provide support to real estate lawyers in their activity and complete a variety of tasks such as offering advice to clients, doing a paralegal certification or an associate's degree is common experience in a real estate paralegal example resume, while some candidates also have. The courses that the student takes will give them a good understanding of the legal system. Home » sample resumes » professional resume » real estate paralegal resume sample two. Achieved associate degree from the new jersey university, new jersey at real estate paralegal studies as the major in the year of 1995. Find the best commercial real estate paralegal resume examples to help you improve your own resume. Some real estate paralegals find it useful to obtain a real estate license as part of their career track. Candidates looking for paralegal resume for real estate in particular, can refer to the sample resume provided on this page. Landlord tenant paralegal resume example. They may represent buyers or sellers, residential or commercial properties, and may work with properties for sale, lease or rent. Others will pursue a paralegal certification or an associates degree or higher. 236 real estate paralegal jobs available on indeed.com. Responsible for handling real estate closing transactions, ordered and reviewed title commitments, responsible for scheduling closings, make all deposits and acted as liaison between attorney and client. Real estate paralegals may find employment with private law firms, corporations, banks, real estate agencies and title companies. Managed the accuracy of monthly payment administration of network real estate cell.

View Real Estate Paralegal Resume PNG- The Courses That The Student Takes Will Give Them A Good Understanding Of The Legal System.

Resume Writing Gallery Of Sample Resumes. The courses that the student takes will give them a good understanding of the legal system. They may represent buyers or sellers, residential or commercial properties, and may work with properties for sale, lease or rent. Find the best commercial real estate paralegal resume examples to help you improve your own resume. Some real estate paralegals find it useful to obtain a real estate license as part of their career track. Others will pursue a paralegal certification or an associates degree or higher. Landlord tenant paralegal resume example. Achieved associate degree from the new jersey university, new jersey at real estate paralegal studies as the major in the year of 1995. Real estate paralegals provide support to real estate lawyers in their activity and complete a variety of tasks such as offering advice to clients, doing a paralegal certification or an associate's degree is common experience in a real estate paralegal example resume, while some candidates also have. Apply to paralegal, real estate associate, commercial real estate agent and more! Candidates looking for paralegal resume for real estate in particular, can refer to the sample resume provided on this page. Managed the accuracy of monthly payment administration of network real estate cell. Responsible for handling real estate closing transactions, ordered and reviewed title commitments, responsible for scheduling closings, make all deposits and acted as liaison between attorney and client. Real estate paralegals may find employment with private law firms, corporations, banks, real estate agencies and title companies. Home » sample resumes » professional resume » real estate paralegal resume sample two. 236 real estate paralegal jobs available on indeed.com.

Paralegal Resume Examples Jobhero
Paralegal Resume Examples Jobhero from www.jobhero.com
Welcome to careerdp, your all in one easy to use job site that can assist you to any job search. Real estate paralegals may find employment with private law firms, corporations, banks, real estate agencies and title companies. Get the right real estate paralegal job with company ratings & salaries. Possible increase in your pay rate. Some real estate paralegals find it useful to obtain a real estate license as part of their career track. Summary highly skilled paralegal with a verifiable track record of managing legal work associated with real estate. Real estate transaction process flowchart.

Careers in commercial real estate (an alternative career for lawyers).

Add your resume and apply to jobs with your glassdoor profile. Candidates looking for paralegal resume for real estate in particular, can refer to the sample resume provided on this page. Some real estate paralegals find it useful to obtain a real estate license as part of their career track. Check out some of our top rated paralegals. Apply to paralegal, real estate associate, commercial real estate agent and more! Add your resume and apply to jobs with your glassdoor profile. Neuvoo™ 【 52 real estate paralegal job opportunities in canada 】 we'll help you find canada's best real estate paralegal jobs and we include related job information like salaries it's quick and easy to apply online for any of the 52 featured real estate paralegal jobs. Experienced, certified paralegal with excellent office management and client relation skills matrimonial and medication. It's simple to post your job and get upwork has the largest pool of proven, remote paralegals & legal professionals. The job will involve providing all necessary support to a property fee earner of the firm with their property caseloads working primarily in secured lending, with responsibilities including audio typing. Others will pursue a paralegal certification or an associates degree or higher. Search careerbuilder for real estate paralegal jobs and browse our platform. Real estate paralegal as a real estate paralegal, you will be working within a large commercial real estate property management company and handle all responsibili… We wish you a good luck and have a prosperous career. Different methods additional credentials show initiative and may contribute to your resume standing out to potential law firms. Responsible for handling real estate closing transactions, ordered and reviewed title commitments, responsible for scheduling closings, make all deposits and acted as liaison between attorney and client. Real estate transaction process flowchart. Winning paralegal's resumes should highlight the ability to learn quickly and provide unwavering support in their role as a paralegal. Report directly to four attorneys with broad ranged responsibilities that encompass timely and complex preparation of cases from discovery to trial phase. Our client is a leading international business law and litigation firm. Home » sample resumes » professional resume » real estate paralegal resume sample two. They may represent buyers or sellers, residential or commercial properties, and may work with properties for sale, lease or rent. All real estate paralegal jobs in usa on careerjet.com, the search engine for jobs in the usa. Apply now for jobs that are hiring near you. They are looking for an energetic, motivated and organized paralegal to join their busy. Bci's real estate paralegal course covers the elements of real property; A proven job specific resume sample for landing your next job in 2020. Resume sample from professional resume writing company. The courses that the student takes will give them a good understanding of the legal system. 236 real estate paralegal jobs available on indeed.com. Find the best commercial real estate paralegal resume examples to help you improve your own resume.

Legal Assistant Resume Template Popofcolor Co- They May Represent Buyers Or Sellers, Residential Or Commercial Properties, And May Work With Properties For Sale, Lease Or Rent.

20 Best Paralegal Resumes Resumehelp. Landlord tenant paralegal resume example. The courses that the student takes will give them a good understanding of the legal system. Managed the accuracy of monthly payment administration of network real estate cell. Responsible for handling real estate closing transactions, ordered and reviewed title commitments, responsible for scheduling closings, make all deposits and acted as liaison between attorney and client. Candidates looking for paralegal resume for real estate in particular, can refer to the sample resume provided on this page. Home » sample resumes » professional resume » real estate paralegal resume sample two. Some real estate paralegals find it useful to obtain a real estate license as part of their career track. Achieved associate degree from the new jersey university, new jersey at real estate paralegal studies as the major in the year of 1995. Find the best commercial real estate paralegal resume examples to help you improve your own resume. Apply to paralegal, real estate associate, commercial real estate agent and more! Real estate paralegals may find employment with private law firms, corporations, banks, real estate agencies and title companies. They may represent buyers or sellers, residential or commercial properties, and may work with properties for sale, lease or rent. Others will pursue a paralegal certification or an associates degree or higher. 236 real estate paralegal jobs available on indeed.com. Real estate paralegals provide support to real estate lawyers in their activity and complete a variety of tasks such as offering advice to clients, doing a paralegal certification or an associate's degree is common experience in a real estate paralegal example resume, while some candidates also have.

Daisy Watson Paralegal Resume , Find The Best Commercial Real Estate Paralegal Resume Examples To Help You Improve Your Own Resume.

Paralegal Resume Samples Job Descriptions Skills Objectives. Apply to paralegal, real estate associate, commercial real estate agent and more! Home » sample resumes » professional resume » real estate paralegal resume sample two. 236 real estate paralegal jobs available on indeed.com. The courses that the student takes will give them a good understanding of the legal system. Responsible for handling real estate closing transactions, ordered and reviewed title commitments, responsible for scheduling closings, make all deposits and acted as liaison between attorney and client. Find the best commercial real estate paralegal resume examples to help you improve your own resume. Real estate paralegals may find employment with private law firms, corporations, banks, real estate agencies and title companies. They may represent buyers or sellers, residential or commercial properties, and may work with properties for sale, lease or rent. Managed the accuracy of monthly payment administration of network real estate cell. Achieved associate degree from the new jersey university, new jersey at real estate paralegal studies as the major in the year of 1995.

By Clicking Build Your Own You Agree To Our Terms Of Use And Privacy Policy Job Resumebest Legal Assistant Cover Letter Entry Level Paralegal Cover Letter Legal Cover Letter Paralegal Cover Letter , Real estate paralegals provide support to real estate lawyers in their activity and complete a variety of tasks such as offering advice to clients, doing a paralegal certification or an associate's degree is common experience in a real estate paralegal example resume, while some candidates also have.

19 Paralegal Resume Examples Guide Pdf 2020 Free. Landlord tenant paralegal resume example. Apply to paralegal, real estate associate, commercial real estate agent and more! Achieved associate degree from the new jersey university, new jersey at real estate paralegal studies as the major in the year of 1995. Some real estate paralegals find it useful to obtain a real estate license as part of their career track. The courses that the student takes will give them a good understanding of the legal system. Home » sample resumes » professional resume » real estate paralegal resume sample two. 236 real estate paralegal jobs available on indeed.com. Real estate paralegals may find employment with private law firms, corporations, banks, real estate agencies and title companies. Real estate paralegals provide support to real estate lawyers in their activity and complete a variety of tasks such as offering advice to clients, doing a paralegal certification or an associate's degree is common experience in a real estate paralegal example resume, while some candidates also have. Others will pursue a paralegal certification or an associates degree or higher. Find the best commercial real estate paralegal resume examples to help you improve your own resume. Candidates looking for paralegal resume for real estate in particular, can refer to the sample resume provided on this page. Responsible for handling real estate closing transactions, ordered and reviewed title commitments, responsible for scheduling closings, make all deposits and acted as liaison between attorney and client. Managed the accuracy of monthly payment administration of network real estate cell. They may represent buyers or sellers, residential or commercial properties, and may work with properties for sale, lease or rent.

Specialist Real Estate Resume Samples Velvet Jobs - Winning Paralegal's Resumes Should Highlight The Ability To Learn Quickly And Provide Unwavering Support In Their Role As A Paralegal.

Probate Paralegal Resume. Some real estate paralegals find it useful to obtain a real estate license as part of their career track. Home » sample resumes » professional resume » real estate paralegal resume sample two. Real estate paralegals may find employment with private law firms, corporations, banks, real estate agencies and title companies. Apply to paralegal, real estate associate, commercial real estate agent and more! Achieved associate degree from the new jersey university, new jersey at real estate paralegal studies as the major in the year of 1995. Find the best commercial real estate paralegal resume examples to help you improve your own resume. Managed the accuracy of monthly payment administration of network real estate cell. They may represent buyers or sellers, residential or commercial properties, and may work with properties for sale, lease or rent. 236 real estate paralegal jobs available on indeed.com. The courses that the student takes will give them a good understanding of the legal system. Others will pursue a paralegal certification or an associates degree or higher. Responsible for handling real estate closing transactions, ordered and reviewed title commitments, responsible for scheduling closings, make all deposits and acted as liaison between attorney and client. Real estate paralegals provide support to real estate lawyers in their activity and complete a variety of tasks such as offering advice to clients, doing a paralegal certification or an associate's degree is common experience in a real estate paralegal example resume, while some candidates also have. Landlord tenant paralegal resume example. Candidates looking for paralegal resume for real estate in particular, can refer to the sample resume provided on this page.

Free 11 Sample Paralegal Resume Templates In Pdf Ms Word . Different Methods Additional Credentials Show Initiative And May Contribute To Your Resume Standing Out To Potential Law Firms.

Real Estate Paralegal Resume Samples Qwikresume. Landlord tenant paralegal resume example. Responsible for handling real estate closing transactions, ordered and reviewed title commitments, responsible for scheduling closings, make all deposits and acted as liaison between attorney and client. Some real estate paralegals find it useful to obtain a real estate license as part of their career track. Real estate paralegals provide support to real estate lawyers in their activity and complete a variety of tasks such as offering advice to clients, doing a paralegal certification or an associate's degree is common experience in a real estate paralegal example resume, while some candidates also have. The courses that the student takes will give them a good understanding of the legal system. Others will pursue a paralegal certification or an associates degree or higher. 236 real estate paralegal jobs available on indeed.com. Candidates looking for paralegal resume for real estate in particular, can refer to the sample resume provided on this page. Achieved associate degree from the new jersey university, new jersey at real estate paralegal studies as the major in the year of 1995. They may represent buyers or sellers, residential or commercial properties, and may work with properties for sale, lease or rent. Home » sample resumes » professional resume » real estate paralegal resume sample two. Apply to paralegal, real estate associate, commercial real estate agent and more! Managed the accuracy of monthly payment administration of network real estate cell. Real estate paralegals may find employment with private law firms, corporations, banks, real estate agencies and title companies. Find the best commercial real estate paralegal resume examples to help you improve your own resume.

Paralegal Resume Template 7 Free Word Pdf Documents Download Free Premium Templates . Careers In Commercial Real Estate (An Alternative Career For Lawyers).

Real Estate Paralegal Resume Samples Qwikresume. Home » sample resumes » professional resume » real estate paralegal resume sample two. Responsible for handling real estate closing transactions, ordered and reviewed title commitments, responsible for scheduling closings, make all deposits and acted as liaison between attorney and client. Real estate paralegals provide support to real estate lawyers in their activity and complete a variety of tasks such as offering advice to clients, doing a paralegal certification or an associate's degree is common experience in a real estate paralegal example resume, while some candidates also have. Candidates looking for paralegal resume for real estate in particular, can refer to the sample resume provided on this page. Others will pursue a paralegal certification or an associates degree or higher. Achieved associate degree from the new jersey university, new jersey at real estate paralegal studies as the major in the year of 1995. 236 real estate paralegal jobs available on indeed.com. They may represent buyers or sellers, residential or commercial properties, and may work with properties for sale, lease or rent. Apply to paralegal, real estate associate, commercial real estate agent and more! Landlord tenant paralegal resume example. The courses that the student takes will give them a good understanding of the legal system. Managed the accuracy of monthly payment administration of network real estate cell. Real estate paralegals may find employment with private law firms, corporations, banks, real estate agencies and title companies. Find the best commercial real estate paralegal resume examples to help you improve your own resume. Some real estate paralegals find it useful to obtain a real estate license as part of their career track.

Alexandria Reynolds Paralegal Resume Esi , Home » Sample Resumes » Professional Resume » Real Estate Paralegal Resume Sample Two.

Patent Attorney Job Resume Examples Resume Examples Good Resume Examples. Real estate paralegals may find employment with private law firms, corporations, banks, real estate agencies and title companies. Real estate paralegals provide support to real estate lawyers in their activity and complete a variety of tasks such as offering advice to clients, doing a paralegal certification or an associate's degree is common experience in a real estate paralegal example resume, while some candidates also have. Landlord tenant paralegal resume example. Candidates looking for paralegal resume for real estate in particular, can refer to the sample resume provided on this page. The courses that the student takes will give them a good understanding of the legal system. Others will pursue a paralegal certification or an associates degree or higher. Managed the accuracy of monthly payment administration of network real estate cell. Responsible for handling real estate closing transactions, ordered and reviewed title commitments, responsible for scheduling closings, make all deposits and acted as liaison between attorney and client. Home » sample resumes » professional resume » real estate paralegal resume sample two. Achieved associate degree from the new jersey university, new jersey at real estate paralegal studies as the major in the year of 1995. Some real estate paralegals find it useful to obtain a real estate license as part of their career track. Apply to paralegal, real estate associate, commercial real estate agent and more! 236 real estate paralegal jobs available on indeed.com. Find the best commercial real estate paralegal resume examples to help you improve your own resume. They may represent buyers or sellers, residential or commercial properties, and may work with properties for sale, lease or rent.

Senior Paralegal Resume Examples And Tips Zippia - Resume Sample Of A Paralegal With Excellent Office Management And Client Relation Skills Seeking A Position Within A Corporate Legal Department.

Template Paralegal Resume Sample Writing Tips Resume Companion With Paralegal Resume Template Paralegal Resume Template Paralegal Cv Template Uk Paralegal Internship Resume Template Free Paralegal Resume Templates Paralegal Resume. 236 real estate paralegal jobs available on indeed.com. Find the best commercial real estate paralegal resume examples to help you improve your own resume. Achieved associate degree from the new jersey university, new jersey at real estate paralegal studies as the major in the year of 1995. Apply to paralegal, real estate associate, commercial real estate agent and more! Candidates looking for paralegal resume for real estate in particular, can refer to the sample resume provided on this page. Real estate paralegals may find employment with private law firms, corporations, banks, real estate agencies and title companies. Managed the accuracy of monthly payment administration of network real estate cell. Responsible for handling real estate closing transactions, ordered and reviewed title commitments, responsible for scheduling closings, make all deposits and acted as liaison between attorney and client. Some real estate paralegals find it useful to obtain a real estate license as part of their career track. They may represent buyers or sellers, residential or commercial properties, and may work with properties for sale, lease or rent. Home » sample resumes » professional resume » real estate paralegal resume sample two. The courses that the student takes will give them a good understanding of the legal system. Landlord tenant paralegal resume example. Others will pursue a paralegal certification or an associates degree or higher. Real estate paralegals provide support to real estate lawyers in their activity and complete a variety of tasks such as offering advice to clients, doing a paralegal certification or an associate's degree is common experience in a real estate paralegal example resume, while some candidates also have.

20 Best Real Estate Paralegal Resumes Resumehelp . Real Estate Paralegal As A Real Estate Paralegal, You Will Be Working Within A Large Commercial Real Estate Property Management Company And Handle All Responsibili…

19 Paralegal Resume Examples Guide Pdf 2020 Free. Real estate paralegals may find employment with private law firms, corporations, banks, real estate agencies and title companies. Achieved associate degree from the new jersey university, new jersey at real estate paralegal studies as the major in the year of 1995. Landlord tenant paralegal resume example. Find the best commercial real estate paralegal resume examples to help you improve your own resume. Others will pursue a paralegal certification or an associates degree or higher. Real estate paralegals provide support to real estate lawyers in their activity and complete a variety of tasks such as offering advice to clients, doing a paralegal certification or an associate's degree is common experience in a real estate paralegal example resume, while some candidates also have. The courses that the student takes will give them a good understanding of the legal system. 236 real estate paralegal jobs available on indeed.com. Some real estate paralegals find it useful to obtain a real estate license as part of their career track. Managed the accuracy of monthly payment administration of network real estate cell. Responsible for handling real estate closing transactions, ordered and reviewed title commitments, responsible for scheduling closings, make all deposits and acted as liaison between attorney and client. Home » sample resumes » professional resume » real estate paralegal resume sample two. They may represent buyers or sellers, residential or commercial properties, and may work with properties for sale, lease or rent. Candidates looking for paralegal resume for real estate in particular, can refer to the sample resume provided on this page. Apply to paralegal, real estate associate, commercial real estate agent and more!

Real Estate Paralegal Resume Examples And Tips Zippia : Real Estate Paralegals May Find Employment With Private Law Firms, Corporations, Banks, Real Estate Agencies And Title Companies.

Paralegal Resume Samples Job Descriptions Skills Objectives. Landlord tenant paralegal resume example. Home » sample resumes » professional resume » real estate paralegal resume sample two. Some real estate paralegals find it useful to obtain a real estate license as part of their career track. Find the best commercial real estate paralegal resume examples to help you improve your own resume. Apply to paralegal, real estate associate, commercial real estate agent and more! 236 real estate paralegal jobs available on indeed.com. The courses that the student takes will give them a good understanding of the legal system. Managed the accuracy of monthly payment administration of network real estate cell. Achieved associate degree from the new jersey university, new jersey at real estate paralegal studies as the major in the year of 1995. Real estate paralegals may find employment with private law firms, corporations, banks, real estate agencies and title companies. Responsible for handling real estate closing transactions, ordered and reviewed title commitments, responsible for scheduling closings, make all deposits and acted as liaison between attorney and client. Others will pursue a paralegal certification or an associates degree or higher. They may represent buyers or sellers, residential or commercial properties, and may work with properties for sale, lease or rent. Candidates looking for paralegal resume for real estate in particular, can refer to the sample resume provided on this page. Real estate paralegals provide support to real estate lawyers in their activity and complete a variety of tasks such as offering advice to clients, doing a paralegal certification or an associate's degree is common experience in a real estate paralegal example resume, while some candidates also have.